Save a bundle solving pressure-drop problems
Increasing unit capacity results in higher hydraulic pressure drop through piping systems. For noncompressible flow, pressure drop rises with the square of the flow rate. On the other hand, compressible flows exhibit volume expansion as pressure decreases. Hence, the resulting pressure drop for such flows can increase greatly. Pressure drop in compressor-suction and interstage coolers often creates problems. In some cases, just a few pounds of extra pressure drop make a revamp unworkable.Figure 1. Combined polytropic head curve
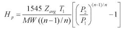
This curve for a centrifugal compressor, derived from plant data, shows the impact of a simple modification.Figure 1 above shows a combined polytropic head curve for a centrifugal compressor. At steady suction conditions and compressor operation (constant rpm), the polytropic head generated by a centrifugal compressor is constant for a fixed suction volume. The polytropic head Hp (in feet) can be calculated by:
where P1 (in English units) and T1 (in R) are the inlet conditions, P2 is the discharge pressure, and MW is the molecular weight of the fluid. The polytropic exponent, (n-1)/n, can be derived from the specific heat capacity ratio of the gas and the polytropic efficiency, or can be determined from operating data. For the range of Z (compressibility factor) between 0.95 and 1.02, using the average Z gives accurate results. The curve in the figure uses values of n derived from plant test data.An obvious way to reduce pressure drop in air fin exchangers is to replace the bundle with a new one that has more tubes. Although the additional surface area usually outweighs the effect of reduced heat-transfer coefficients, this option may be very expensive. Increasing the size of the bundle may require piping, structure, plenum, fan and motor changes. An entirely new exchanger may be cheaper.Other alternatives can avoid the need to modify auxiliary systems. Reducing pass-count decreases pressure drop drastically in air fin exchangers. Dropping from four-pass to two-pass cuts the pressure drop by a factor of eight. The velocity is halved, paring pressure drop by at least 75% for the same equivalent length of pipe. Then, the pressure drop is halved again due to the reduced length of tube in the flow path. Finally, the compressible-flow volume expansion is reduced, making the pressure drop smaller still.Replacing bundle passes is akin to taking a big hammer to a problem. If you have a large problem, it may be the thing to do. However, the move incurs a process cost. Lower tube velocities also reduce heat-transfer effectiveness for most fluids. A large velocity change translates to a large heat-transfer change.A subtler alternative is to alter the tube size and tube pitch to increase the flow area in the tubes to decrease pressure drop. Done carefully, extra tube area will compensate for reduced heat-transfer effectiveness. The major disadvantage of tube-size and pitch alterations is that they often require fan and motor changes at the same time.An often overlooked choice is to change materials to allow for thinner-wall tubes. At one plant, switching to high-alloy, thin-walled tubes gave a 5 psi reduction in compressor suction-cooler pressure drop. This could provide a 16.7% capacity increase at constant suction volume. Here, instead, the benefit was taken as a 36 psi higher discharge pressure to improve downstream operation. This modification simply involved lifting out the old and dropping in the new bundle.
Andrew Sloley is contributing editor for Chemical Processing magazine. E-mail him at [email protected].


