Close-up Look at T-Junction Mixing for Gases
Different methods can mix two gas streams. The most common ways to mix gases include ejectors, T-junction mixers and static mixers. If it works, simple is best. In the right conditions, a straightforward T-junction mixer fits that bill.
Figure 1 shows a schematic of a T-junction. One gas goes down the mixing T, and the second is injected from a side pipe. For this example, the main flow is at velocity V1 in a pipe of diameter D1. The added flow is at velocity V2 in a pipe of diameter D2.
Multiple variations of these are available. Depending on their preferences, different users may have the gas entering the main flow at right angles or point at some angle upstream or downstream. The mixing gas may enter either radially (aimed across the center of the pipe it enters), tangentially (aimed at a tangent to the edge of the pipe) or at some point in between. In other configurations, multiple injection points spaced around the pipe are used.
Many process operators and engineers make these choices based on an idea that seems logical without considering the basics of fluid flow in the mixing.
Experience and experimental work show that the most rapid mixing occurs with a radial entry at right angles to the main flow. The more parallel the flows are when they join, the longer the distance and time required for full mixing.
In Figure 1, the side entering stream (from below) enters the main flow radially and at a right angle. Mixing occurs through two mechanisms. First, the vapor from the side entrains vapor into the entering jet. Second, the vapor flow entering V2 curves as it is pushed by the main flow (V1).
If the vapor velocity (V2) in the entering flow is too low, the vapor is pushed along the wall just where it enters. If the vapor velocity is too high, the entering jet shoots across the main flow, hits the other side, and much of it gets pushed down the wall opposite to where it enters.
An optimum vapor velocity for V2 results in an expanding mixing zone that mixes the vapors as rapidly as possible. Computational fluid dynamics has replaced smoke tracers and thermography as the primary method for analyzing T-junction mixers as shown in Figure 1.
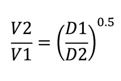
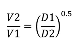
Multiple factors are involved, but for fully developed turbulent flow, the optimum velocity ratio between V1 and V2 is related to the pipe diameters. Determining the optimum design has proven difficult to quantify. However, the quickest mixing appears to occur when:
This is not a perfect correlation, but within wide limits it’s good enough for nearly all cases for fully turbulent flow.
For example, a recent application required rapid mixing to avoid localized problems due to solids deposits. Normal operation had V2 at 54.6 ft/sec in a 4.026-in. ID pipe and V1 at 31.3 ft/sec in an 11.94-in. ID pipe. In this scenario, the velocity ratio (left side of the equation) V2/V1 is 54.6/31.4 or 1.74. This compares to (11.94/4.026)0.5 or 1.72 for the square root of the diameter ratio (right side of the equation). The match-up of velocities and pipe sizes is nearly ideal (1.74≈1.72). In a high-rate case, V1 changes to 34.2 ft/sec, but V2 changes to 90.0 ft/sec. Under these conditions, mixing is slower because the entering velocity ratio has changed to 90.0/34.2 or 2.63, which is significantly different from 1.72. The high-velocity side inlet will have over-penetration, and it will take a longer tailpipe downstream of the T for full mixing to occur.
Changing to a 6-in. diameter side entry would help for the high-rate operation but make the base case worse. This shows one weakness of T-mixing when rapid mixing is needed. They have relatively limited flow ranges for optimum operation. One attempt to get around this is to have multiple entries that can be used to help control the inlet velocity of the side stream. Multiple entries add a lot of complexity to the system. When operation across a large range of flow rates is required, a T-junction mixer may not be the best choice.
Nevertheless, for many simple gas mixing applications with reasonable flexibility requirements, the T-junction mixer is an effective and inexpensive mixing choice.
About the Author
Andrew Sloley, Plant InSites columnist
Contributing Editor
ANDREW SLOLEY is a Chemical Processing Contributing Editor.



