Energy Saver: Variable Speed Drives Boost Chemical Plant Efficiency
Key Takeaways:
- Energy Savings Multiply: VSDs can cut energy consumption by up to 50% by leveraging the cubic relationship between motor speed and power—even a modest 20% speed reduction can halve energy use.
- Single-Pump Impact: One real-world example shows how a single cooling tower pump with a VSD saved $9,200-$13,800 annually in electricity costs, demonstrating significant ROI potential.
- Future-Ready Benefits: Beyond energy savings, VSDs offer advanced features like predictive maintenance, IIoT connectivity and smart control capabilities that align with digital transformation initiatives in chemical plants.
Variable speed drives (VSDs) have transformed motor control in the chemical industry over recent decades. Also known as variable frequency drives or adjustable speed drives, these electronic devices offer unprecedented control over electric motor speed and torque, providing a level of precision and efficiency that was previously unattainable with traditional motor control methods.1
The fundamental principle behind VSDs lies in their ability to modulate the frequency and voltage supplied to electric motors. This capability allows for precise matching of motor speed to the required load, resulting in substantial energy savings and improved process control. In a typical chemical plant, where motors drive everything from pumps and fans to mixers and conveyor systems, the potential for energy savings through VSD implementation is enormous.
Science Behind the Savings
The energy-saving potential of VSDs is truly remarkable. The U.S. Department of Energy reports that these devices can reduce energy consumption by up to 50% in many applications. In some cases, the savings can be even more dramatic. But how exactly do VSDs achieve these impressive results?
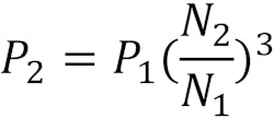
The answer lies in the affinity laws, which describe the relationship between motor speed and power consumption. For centrifugal loads like pumps and fans, which are common in chemical plants, power consumption is proportional to the cube of the speed. This relationship can be expressed mathematically as:
Where P represents power and N represents speed. This cubic relationship means that even a small reduction in speed can lead to significant energy savings. For example, reducing a pump or fan's speed by 20% can result in energy savings of up to 50%.
From Theory to Practice: A Cooling Tower Success Story
To put these savings into perspective, let's consider a real-world example: A chemical plant uses a ~90% efficient, 33 hp pump operating 24/7 at full speed on a cooling tower fan, consuming approximately 27 kW of power. By implementing a VSD and reducing the average speed to be between 75% and 85% over the course of a given year, the power consumption would drop to about 11.5 kW-16.8 kW. This adjustment could result in annual energy savings of around 92,400 kWh-138,400 kWh. At an electricity rate of $0.10/kWh, this translates to annual cost savings of $9,200-$13,800 per year for a single pump.
When considering the cost of energy in this example for the full-speed pump is $23,650, the savings are significant. Additionally, with the emerging trend of electrification, adoption of renewable energy and process flexibility, VSDs offer more than energy and cost savings, they also offer future-fit pathways as more significant investments are made in the plant.
Smart Implementation: A VSD Roadmap
A crucial first step prior to implementing a VSD is a thorough application assessment. Not all motor-driven systems are suitable for VSDs, so process evaluations are essential to identify applications with variable load requirements.
In chemical processing, prime candidates for VSD implementation often include but are not limited to:
- Centrifugal pumps for fluid transfer and circulation
- Cooling tower fans
- Process air blowers
- Agitators and mixers with variable load requirements
Other key factors to consider include (Figure 1):
Motor compatibility: Many existing motors in chemical plants may not be designed for VSD operation. Factors to consider include the insulation class, bearing currents and motors operating at lower speeds, which may require additional cooling.
Comprehensive system analysis: This involves developing system curves to understand the relationship among flow, pressure and power consumption, identifying minimum and maximum operating points and assessing the potential for energy savings across the entire operating range.
Harmonics and power quality: VSDs can introduce harmonics into the electrical system, which may affect sensitive equipment. Mitigation measures may include active or passive harmonic filters, multi-pulse VSD designs or active front end technology. 3
Environmental factors: Harsh environments often found in chemical processing plants require careful consideration. Temperature extremes can impact VSD cooling needs, while the presence of corrosive gases or dust may call for special enclosures. Many areas within chemical plants also have explosion-proof requirements.
Maximizing VSD Benefits
The next step is a lifecycle cost analysis. Figure 2 shows key roadmap considerations when choosing VSDs for your facility, including more details on lifecycle costing. When doing so, engaging with VSD specialists who understand both the technology and chemical processing applications is crucial for success. These experts can assist with proper sizing and selection, system integration and control strategy development and compliance with industry-specific standards.
Implementing a monitoring and verification plan is also important to track system performance, savings and additional opportunities for optimization, such as integration with sitewide energy monitoring and optimization initiatives. These advanced drives can provide real-time energy consumption data, automatic efficiency optimization algorithms and connect with Industrial Internet of Things (IIoT) platforms for advanced analytics.
Beyond Speed Control: Advanced Features for Modern Plants
Modern VSDs offer a range of features that can provide additional benefits in chemical processing applications. Soft start/stop capabilities gradually ramp motor speed up or down, reducing mechanical stress on pumps, valves, and piping systems. This can be particularly beneficial in processes involving viscous fluids or slurries.
PID control maintains a setpoint (e.g., flow rate, pressure, temperature) by automatically adjusting motor speed based on feedback, improving process stability and product quality in chemical reactions. Energy optimization features adjust voltage to maximize motor efficiency at partial loads, which is common in batch processing operations.
Advanced predictive maintenance features allow VSDs to monitor motor and drive parameters to predict potential failures before they occur, reducing unplanned downtime in critical chemical processes. Safety features like Safe Torque Off (STO) also provide crucial protection in emergency shutdown scenarios, which is particularly important in the chemical industry where rapid and safe process shutdown can be critical.
Powering a More Efficient Today and Tomorrow
VSDs represent a powerful tool for chemical operators seeking to improve energy efficiency, reduce costs and enhance process control. The ability to precisely match motor speed to load requirements offers unprecedented opportunities for optimization across a wide range of applications. As energy costs continue to rise and environmental regulations become more stringent, the adoption of VSD technology is no longer just an option—it's a necessity for maintaining competitiveness in the chemical processing industry.
As digital transformations continue from the boardroom to the shop floor, the integration of VSD technology is a smart technology fit with advanced analytics, artificial intelligence and IIoT, promising even greater opportunities for optimization and efficiency.
The journey to VSD implementation may seem daunting, but the potential rewards make it a worthwhile endeavor. Remember that each step toward optimization moves you closer to a more efficient and profitable operation.
References:
- Saidur, R., Mekhilef, S., Ali, M. B., Safari, A., & Mohammed, H. A. (2012). Applications of variable speed drive (VSD) in electrical motors energy savings. Renewable and Sustainable Energy Reviews, 16(1), 543-550
- Lönnberg, M. (2007). Variable speed drives for energy savings in hospitals. World Pumps, 2007(494), 20-24.
- Bendre, A., Divan, D., Kranz, W., & Brumsickle, W. (2008). Equipment failures caused by power quality disturbances. IEEE Industry Applications Conference Forty-First IAS Annual Meeting, 2008, 1-8. https://doi.org/10.1109/07IAS.2006.55
About the Author
Thomas Kwan
Global Vice President, Strategic Innovation and Industrial Ecosystems
Thomas Alan Kwan is an energy transition expert at Schneider Electric's Sustainability Research Institute. With a Ph.D. in chemical and environmental engineering, he brings a blend of academic rigor and industrial experience to the field of sustainable manufacturing and green engineering.
At Schneider Electric, he leads initiatives focused on new and emerging industrial systems, with a particular emphasis on the chemical processing sector. His work involves developing innovative solutions and practices to drive energy, environmental and economic benefits.
Previously, he was a key member of Unilever's product engineering team, where he integrated green chemistry and engineering principles for product and process development. His contributions earned him a lifetime honorary membership on the team. Kwan also has experience in environmental regulation, having worked with the U.S. EPA on Clean Water Act programs.
Through his research and collaborations, Kwan continues to explore innovative ways to reduce energy consumption, minimize waste, maximize value and improve overall process efficiency in chemical manufacturing operations.




