Get the Drift of Air-Fin Coolers
(1)
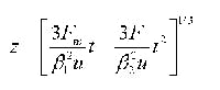
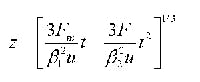
where z is the height of the plume source; the other terms are defined in the Nomenclature box.
With some modification to more convenient quantities, this expands to:
(2)
This calculation is a little unusual for most of us, so let's use SI for units in these equations — its simpler unit cancelations give a good check to reduce the number of errors.
Because the drift distance and direction depend upon the wind, it's important to check local weather information to determine if drift might be a problem. The National Oceanographic and Atmospheric Administration is the best source for U.S. data. Corresponding government agencies in other countries provide the necessary information there.
Our simplified analysis of plume rise doesn't take into account high wind speed and downstream obstacles. Wind velocity greater than 1.5 times the plume velocity entering the air often results in a downwash (Figure 1). This will cause the hot air plume to carry further than expected. Downwash behavior also can result from walls or other obstructions.
Figure 1. High winds may cause a plume to reach other air-fin coolers.
If a hot air plume might reach other air-fins, you generally can take one of two major paths: (1) live with the problem; or (2) thwart the impact of the drift.Living with the problem implies either acceptance or brute force. If you can tolerate reduced performance for a few days a year, then the answer may be to accept the situation. Another alternative is to compensate for it. Make the downstream exchanger big enough to cope with the air drift — typically by increasing its design air temperature by providing either extra surface area or higher air rates (and fan power) on the downstream exchanger. Often, this is the simplest solution — especially if the downstream exchanger is new.As far as modifications, let's concentrate on what we can do to the air-fin exchangers themselves. Either we can change the layout to reduce warm air being pulled into the downstream exchanger or we can re-cool the air.Layout modification focuses on preventing air-drift problems. Options include (1) putting the exchangers at the same elevation; (2) adding a stack to the upwind exchanger; (3) installing an inlet duct on the downstream exchanger; or (4) erecting a wall between the exchangers.Exchangers at an identical elevation suffer few plume problems. However, while putting the exchangers at the same level is straightforward, it often isn't feasible from a financial or layout standpoint. This option mostly is used if one or more of the exchangers hasn't been built yet.Stacks and inlet ducts change the effective elevation difference for the air. A stack on the upwind exchanger moves the plume source up. This typically is cheapest for an induced-draft exchanger because the stack has a smaller diameter. Small diameter stacks, even though they increase pressure drop, have another advantage: High stack exit velocity allows the system to tolerate a higher wind velocity before backwash starts. A duct on the downstream exchanger moves the plume-destination problem area down. This option rarely is chosen because it often would create problems with access and high air velocity entering the stack close to the ground.You can build walls on the edge of either the upstream or downstream exchanger. They normally have to extend some distance, either up or to the side, to prevent backwash, but are simple and often used.Finally, for intermittent use, you can opt for a misting system on the downstream air-fin, as I've previously discussed ("Is Mist a Must?").
ANDREW SLOLEY is a Chemical Processing Contributing Editor. You can email him at [email protected].
NOMENCLATURE
F Buoyancy flux of cooler, m4/s3, = gworo2(To-Ta)/To
Fm Momentum flux of cooler, m4/s2, = wo2ro2(ρo/ρa)
g Acceleration due to gravity, 9.8 m/s
ro Radius of a circular cooler of equivalent area, m
Ta Ambient air temperature, K
To Exit-air temperature from plume source, K
t Time of plume travel, s
u Ambient wind speed, m/s
wo Exit-air velocity from plume source, m/s
x Distance downwind from source, m
z Height of plume above source, m
β1 Momentum coefficient, 1/3 + u/wo
β2 Buoyancy coefficient, 0.6
ρa Ambient air density, kg/m3
ρo Exit-air density from plume source, kg/m3



