The last round of major project expansions made clear to many of us that engineering quality now is a significant issue. Whether due to poor project definition from the owners, miscommunication between owners and contractors, or less experienced staff on the contractor side, engineering deliverables are handed over late and don’t align with the owner’s business needs and objectives. In some cases, they aren’t even suitable to bid the execution work.
Most industry leaders would argue the biggest factor affecting engineering quality is the lack of experience of many technical staff. The industry must cope with a large expansion in activity with a limited increase in skilled resources; senior-level engineers, although highly experienced, can’t handle the workload. The industry has tried to fill this gap with tools. These have reduced users’ knowledge of engineering fundamentals and robbed them of valuable experience. Moreover, this approach has resulted in a lack of awareness of what quality looks like and what it consists of as far as deliverables. Too many inexperienced engineers believe: “If the system spits it out, it must be good!”
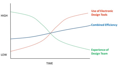
Figure 1. Electronic tools can’t fully overcome the loss in efficiency from lack of experienced staff.
In addition, despite the implementation of more and more electronic systems and tools, engineering hours for projects haven’t dropped. This is a misguided metric, though, because engineering typically accounts for only around 12–15% of the total cost of a large-scale capital project; procurement and construction activities represent a majority of the total project cost. So, spending a little extra in engineering effort to get the other areas more efficient is a cheap price to pay. Owners should appreciate that ensuring we make prudent purchases (of equipment and materials) and build projects flawlessly in today’s less-experienced-project-team environment is more critical than reducing engineering hours.
There’s no question that while our electronic systems haven’t yielded all the efficiencies expected they have provided some true benefits. Unfortunately, poor communication between owner and contractor, limited availability of experienced resources and an increase in project complexity have counteracted these gains (see Figure 1).
Quality Issues
The industry is fraught with countless examples of misaligned quality expectations around aspects such as future expansion considerations, product flexibility, capacity fluctuations and reliability. A first and critical step to avoid such problems is for the owner’s engineers, operations staff and, most importantly, business leaders to agree on the project’s functional objectives. This ensures contractors get clear and consistent communication about the objectives.
Owners also must drive early agreement on the front-end execution contractor and contract award to allow enough time to effectively complete the conceptual and basic engineering efforts. Holding a contractor responsible for meeting a pre-determined deadline but minimizing the allowable time due to early contract issues, scope clarification challenges, funding delays, etc., causes inefficiencies in the contractor’s shop. This was one of the primary root-cause issues identified by a group of industry leaders gathered at the 2014 Engineering and Construction Contracting (ECC) conference this past September in Orlando.
Another issued raised there was overlapping front-end planning phases, which violates the proven industry best practice of stage gates. As owners as well as contractors strive to build their team capabilities, they are recruiting staff from other industries. What’s required at each stage gate varies across industries and sometimes isn’t clearly defined. This results in misaligned expectations at the phase-gate decision, which in turn can lead to an unsatisfactory understanding of quality expectations and poor project results.
Owners often set unrealistic project completion deadlines that will result in less time available to complete the desired engineering efforts. This then drives poor decision-making, leading to projects that fail to meet their target dates or, worse yet, don’t satisfy operability targets. Typically, the root cause of this issue is the lack of early communication within the project’s groups as to what schedule is achievable prior to release of any management or public target date announcement.
Another key issue raised at the ECC engineering management workshop was how we measure engineering effectiveness. Attention today mainly focuses on the cost and timeliness of the engineering deliverables rather than how the system/facility operates after commissioning and startup. The project may last a few years but the asset will run for decades. So, ensuring efficient and trouble-free operations is the true measure of engineering quality.
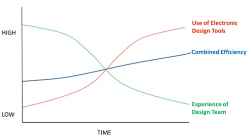
Figure 2. Changes in scope should not occur after a project has been fully authorized.
Another aspect of engineering quality is the timeliness of “good ideas.” The typical owner’s project delivery process fosters creative thinking and innovation throughout the front-end-loading phases (Figure 2). However, once the project has been authorized and full funding sanctioned (at the end of Phase 3 — front end engineering), the innovation should stop and the project team should execute the scope defined in accordance with the execution strategy agreed to in the authorization package. Today, the lines are blurred as to when a change in scope is acceptable. Projects can’t meet their target cost and schedule expectations if the scope is constantly evolving through the execution phase. Project teams must respect the notion that the time for good ideas and creativity is prior to project authorization. A “good idea” adopted after authorization typically turns into a “bad idea” due to its disruptive impact on project execution.
Contractors aren’t free from fault here either. With today’s increased project activity, the capabilities and skills of their staff are stretched to or, in some cases, beyond their effective limits. This, in addition to the limited supply of engineering talent entering the marketplace, is a major industry issue. Contractors must honestly assess what they can handle and not take on work that overtaxes their resources.
The demand for engineering and construction resources has spurred aggressive recruitment efforts. While these are well-intentioned, we only seem to be stealing from each other. The overall resource pool is no larger today than it was during slow times. Drawing talent back into the industry to address this systemic problem demands concerted action.
The Way Forward
We can take a number of steps to address quality issues. Recently, Independent Project Analysis (IPA), Ashburn, Va., announced that the Classes of Facility Quality (CFQ) Value Improving Practice (VIP), which historically was one of 12 optional VIPs, now is considered a standard practice and is required for all projects. If executed correctly, this VIP ensures alignment among the owner’s business representatives, engineering group and operations staff. When implemented, documented and authorized properly, the CFQ effort will minimize or eliminate late changes in scope due to misaligned project-quality expectations.
Pathfinder supports IPA’s action because this VIP is a structured, decision-making process that can be used to effectively establish and manage scope development for new operating facilities in alignment with business and project objectives. It historically has demonstrated project costs savings of up to 20% within the industry, and can reduce schedules by eliminating engineering recycle during a project. Of course, these better-developed design criteria must be effectively communicated to the contractor. The contractor then must execute efficiently and to industry-accepted standards. The owner should plan spot-checks to ensure the contractor is meeting quality expectations. If the owner lacks this internal capability, it should consider an external independent project review effort.
To address the issue of end-of-phase-gate required engineering scope deliverables, many owners have opted for a facilitated scope clarification meeting. This meeting, more detailed than the traditional kickoff meeting, takes place upon contract award to ensure 100% alignment on scope issues between the owner team’s expectations and the contractor’s understanding of the owner’s stage-gate requirements. Project-specific deliverables and details about deliverable quality are clearly defined and communicated to all parties. (This hopefully should have been done during the bidding process so contactors bid the effort correctly, in which case the scope alignment meeting will reinforce the expectations.)
I’ve outlined just some of the potential improvement opportunities we have available to aid us in delivering projects that meet business needs, executing to defined cost and schedule baselines, and using internal and contracted resources more effectively. Other industry best practices — such as effective use of value engineering techniques, clearly defined work-breakdown structures and the application of peer reviews and independent project reviews — also can assist in improvement initiatives.
Tackle Quality Failings
If we are to improve the predictability of major capital projects and realize better business value from capital expenditures, we must bolster the quality of the overall capital-project delivery process. Improvement largely depends upon our ability to define what quality means from the owner’s business case and communicate this quality through our engineering deliverables. This, in turn, will allow the project team to purchase effectively and execute in the field with minimal changes. The overall result will be more efficient and effective use of our human resources, capital and time, bringing better business value to the owner and more profitability to contractors.
STEPHEN CABANO is president of Pathfinder LLC, Cherry Hill, N.J. E-mail him at [email protected].


